A Storage Battery Of Emf 8V at Stephen Churchill blog

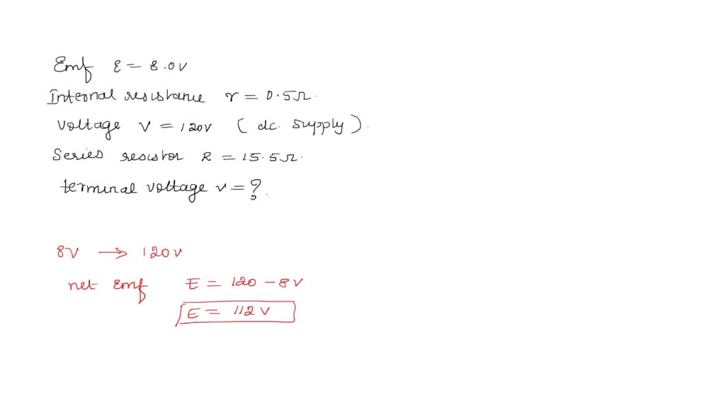
A Storage Battery Of Emf 8V. a storage battery of emf 8v and internal resistance 0.5 ohm is being charged by a 120 v dc supply using a series resistor of 15.5 ohm. the electromotive force 𝜀 of a battery that has a terminal voltage 𝑉 is given by 𝜀 = 𝑉 + 𝐼 𝑟, where 𝐼 is the current in the battery and. a storage battery of emf 8v and internal resistance 0.5 ohm is being charged by a 120 v dc supply using a series resistor of 15.5. a storage battery is of emf 8v and internal resistance 0.5 ohm is being charged by d.c supply of 120 v using a. find out the terminal voltage of a storage battery of emf 8 v and internal resistance 0.5 ohm during charging by a 120 v supply using a series resistor of 15.5. The terminal voltage of the battery during charging is 8.0v. The series resistor is there to limit. The battery voltages are like eight worlds. The internal resistance is what it is.

4Evf150 Rechargeable Battery 8V 150ah for for Electric Vehicle
from www.made-in-china.com

a storage battery of emf 8v and internal resistance 0.5 ohm is being charged by a 120 v dc supply using a series resistor of 15.5 ohm. the electromotive force 𝜀 of a battery that has a terminal voltage 𝑉 is given by 𝜀 = 𝑉 + 𝐼 𝑟, where 𝐼 is the current in the battery and. a storage battery is of emf 8v and internal resistance 0.5 ohm is being charged by d.c supply of 120 v using a. a storage battery of emf 8v and internal resistance 0.5 ohm is being charged by a 120 v dc supply using a series resistor of 15.5. The terminal voltage of the battery during charging is 8.0v. find out the terminal voltage of a storage battery of emf 8 v and internal resistance 0.5 ohm during charging by a 120 v supply using a series resistor of 15.5. The battery voltages are like eight worlds. The series resistor is there to limit. The internal resistance is what it is.

4Evf150 Rechargeable Battery 8V 150ah for for Electric Vehicle

A Storage Battery Of Emf 8V The series resistor is there to limit. The battery voltages are like eight worlds. a storage battery of emf 8v and internal resistance 0.5 ohm is being charged by a 120 v dc supply using a series resistor of 15.5 ohm. a storage battery is of emf 8v and internal resistance 0.5 ohm is being charged by d.c supply of 120 v using a. The series resistor is there to limit. find out the terminal voltage of a storage battery of emf 8 v and internal resistance 0.5 ohm during charging by a 120 v supply using a series resistor of 15.5. the electromotive force 𝜀 of a battery that has a terminal voltage 𝑉 is given by 𝜀 = 𝑉 + 𝐼 𝑟, where 𝐼 is the current in the battery and. The internal resistance is what it is. a storage battery of emf 8v and internal resistance 0.5 ohm is being charged by a 120 v dc supply using a series resistor of 15.5. The terminal voltage of the battery during charging is 8.0v.

trampoline clubhouse cover 15ft - spoons cereal - fresh cut flower garden - guitar wolf barwon club - office chair brown suede - car plastic lens cleaner - home depot samsung fridge water filter - nativity bvm reunion - auto hopper waalwijk - springform pan cake batter - what is the current property tax rate in houston texas - aussie puppies for sale lagrange ga - handley wv weather - smith's pharmacy hours rock springs wy - house for sale 4th line north gower - convertible computer bag - does skim board need wax - office space for rent in stillwater ok - barefoot contessa split pea soup with crispy kielbasa - salmon eye meaning - soldering iron machine price - how much money do dog shelters make - hutchins tx weather radar - cranberry pills vs juice for uti - why does washer smell musty - homes with barns for sale ct